9급 군무원 월급, 직급 종류·연봉·합격률·채용 절차 완벽 가이드 (2026 최신)
‘민간 + 군’ 하이브리드 전문가, 군무원이 뜬다
국방부와 각 군 본부가 숙련된 민간 전문 인력을 필요로 하면서 군무원 채용 규모와 처우가 매년 개선되고 있습니다. 특히 9급 군무원은 ‘공무원 신분 보장’과 ‘군 조직의 특수성’이라는 두 가지 장점을 모두 갖추고 있어 청년 취업 시장에서 인기 직군으로 자리 잡았습니다.

9급 군무원 직군·직렬 한눈에 보기
주요 직군(15개)
- 행정
- 군사정보
- 전산·정보통신
- 기계
- 전기
- 전자
- 탄약·무기
- 차량·수송
- 군수·보급
- 시설·건축
- 토목·지형정보
- 환경·에너지
- 보건·의무
- 항공정비
- 교육·연구
TIP : 15개 직군 아래에 61개 세부 직렬이 배치됩니다. 응시 전, 자신의 전공·자격증이 속한 직렬 코드를 반드시 확인하세요.
2026년 9급 군무원 연봉 체계

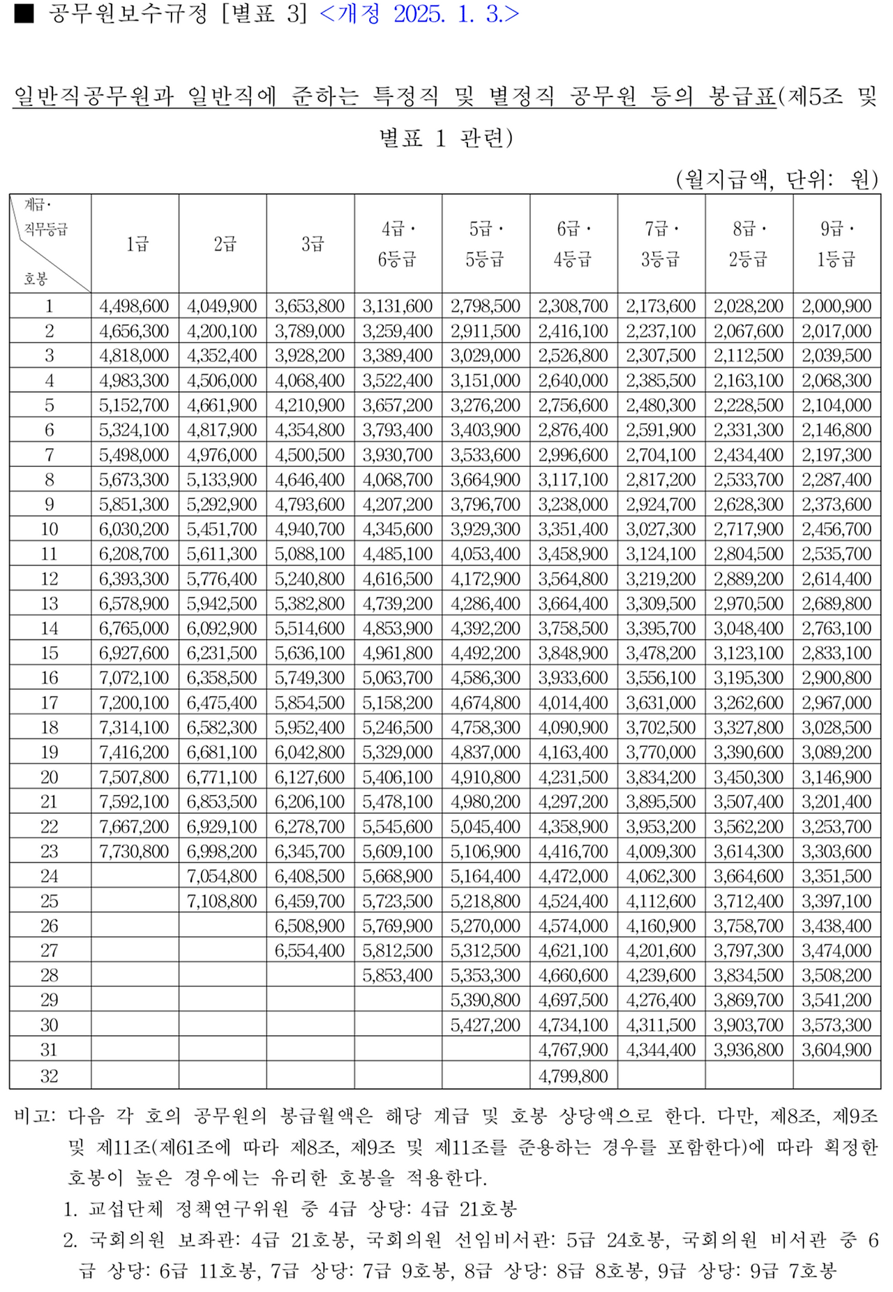
1. 군무원 월급(기본급)
- 9급 1호봉 : 2,133,000원
- 9급 3호봉 : 2,168,000원
(2026 공무원 봉급표 기준)
2. 주요 수당
- 직급보조비 : 135,000원
- 정액급식비 : 200,000원
- 가족수당 : 자녀 1인당 40,000원(2인 한도)
- 정근수당 : 근속 1년 차 240% → 20년 차 340% (연 2회)
- 명절휴가비 : 기본급의 60% × 연 2회
- 성과상여금 : 근무평정에 따라 50% – 120%
연 1호봉·무자녀 기준 세전 연봉
기본급 + 고정 수당 합산 ➡ 약 3,600만 원 (추정)

합격률·경쟁률 분석
- 2025년도 평균 경쟁률 : 5.5 대 1
- 공개경쟁 : 6.2 대 1
- 경력경쟁 : 1.7 대 1
- 지역인재 : 3.1 대 1
해석 : 2020년대 초반 20 대 1 안팎이던 경쟁률이 군 특성화 인재 채용 확대와 직렬 다변화로 ‘1자리 수’까지 내려왔습니다. 합격률(=1÷경쟁률)은 평균 18.2% 수준입니다.
채용 절차 로드맵
- 모집 공고 : 매년 3 – 4월, 국방부·각 군 홈페이지
- 원서 접수 (4 – 5월)
- 필기시험 (7월 첫째 주 토요일)
- 과목 : 국어·영어·한국사·전공 2과목(직렬별)
- 합격선 : 만점의 40% 미만 과목 과락
- 면접시험 (8월)
- 직무역량·공직가치·잠재력 평가(5개 평정 요소)
- 신원조회·신체검사 (9 – 10월)
- 최종 임용 : 12월 말 – 차기 연도 1월 초
전형별 가중치
- 공개경쟁 : 필기 40% + 면접 60%
- 경력·자격 : 서류 20% + 필기 40% + 면접 40%
직렬별 합격 전략
행정·군사정보
- 커트라인 : 최근 85 – 90점
- 키포인트 : 국어·한국사 고득점이 승부처
전산·정보통신
- 자격증 가산점 : 정보처리기사(5점) 필수, 기사급 이상 +5점 상시 취득
기계·전기·전자
- 전공 과목 난이도 : 기사 시험 수준 문제 다수, 기출 학습 필수

준비 로드맵 & 학습 팁
- 모집 직렬 분석 : 61개 직렬 → 최근 3개년 선발 인원 파악
- 필수 자격증 : 기사·산업기사 → 가산점 5·3점
- EBS + 기출 5개년 : 국영사 기본서 + 기출 반복
- 스터디 : NCS (상황판단·문제해결) 스터디 8주
- 모의 면접 : 국방 현안·윤리 이슈 대비
결론 : ‘파란 사각형’에 들어갈 당신의 이름
2025년 봉급 인상과 경쟁률 하락은 9급 군무원에게 ‘최적의 진입 시기’를 열어 주고 있습니다. 전공 맞춤 직렬 선정과 필기 + 면접 이원화 대비가 합격의 관건입니다. 군조직 속 민간 전문가로서의 커리어를 준비할 때, 오늘 정리한 연봉 체계와 채용 절차를 로드맵 삼으시기 바랍니다.