2026년 공무원 봉급표 확정 2026 군인 교사 교원 교수 헌법재판관 경찰 소방관 공안직공무원 봉급표 총정리
2026년 공무원 봉급표는 2025년에 비해 공무원 보수 3.5% 인상분이 반영된 결과물로, 중앙정부와 지방자치단체에 근무하는 일반직공무원은 물론 경찰·소방, 교원, 군인, 연구직, 전문경력관 등 모든 직군에 동일한 인상 기조가 적용되었습니다. 이번 봉급표 개정의 핵심은 단순한 급여 인상에 그치지 않고, 직군 간 임금 격차 완화와 저연차 공무원의 실질 소득 보전을 동시에 고려했다는 점에 있습니다. 특히 물가 상승과 민간 임금 인상률을 일정 부분 반영하면서 공직 경쟁력 유지를 목표로 한 구조적 조정이라는 점에서 의미가 큽니다.

아래에서는 2026년 공무원 봉급표를 직군별로 나누어 서술형 중심으로 정리하고, 실무적으로 많이 참고되는 구간을 위주로 설명드립니다.
2026년 공무원 봉급 인상률 개요
2026년 공무원 봉급표는 전년도 대비 평균 3.5% 인상되었습니다. 이 인상률은 전 계급과 전 호봉에 일괄 적용되었으나, 실제 체감 인상폭은 직급과 호봉에 따라 차이가 있습니다. 저연차·저호봉 구간에서는 절대 금액 기준 인상폭이 상대적으로 작지만, 생활임금 관점에서는 체감도가 높도록 설계되었고, 고위직의 경우 인상률은 동일하되 절대 금액 인상폭이 커지는 구조입니다. 이번 개정은 보수 체계의 안정성을 유지하면서도 장기 근속 유인을 확보하려는 방향성을 분명히 보여줍니다.
2026년 공무원 봉급표 변화
일반직공무원과 이에 준하는 특정직·별정직 2026년 공무원 봉급표는 공무원 보수체계의 기준이 되는 핵심 표입니다.

9급 1호봉 기준 월 봉급은 약 213만 원 수준으로 형성되었으며, 7급 1호봉은 약 231만 원, 5급 1호봉은 약 289만 원대로 책정되었습니다. 고위직으로 갈수록 호봉 상승에 따른 증가폭이 완만해지지만, 누적 보수는 상당한 수준에 이릅니다. 1급 고위공무원의 경우 1호봉 기준 월 465만 원대에서 시작하여 호봉 상승에 따라 700만 원대 중후반까지 도달하는 구조입니다. 이러한 구조는 직급 체계의 위계성을 유지하면서도 단계적 성장을 유도하는 전통적인 공무원 보수 설계를 그대로 반영한 결과입니다.
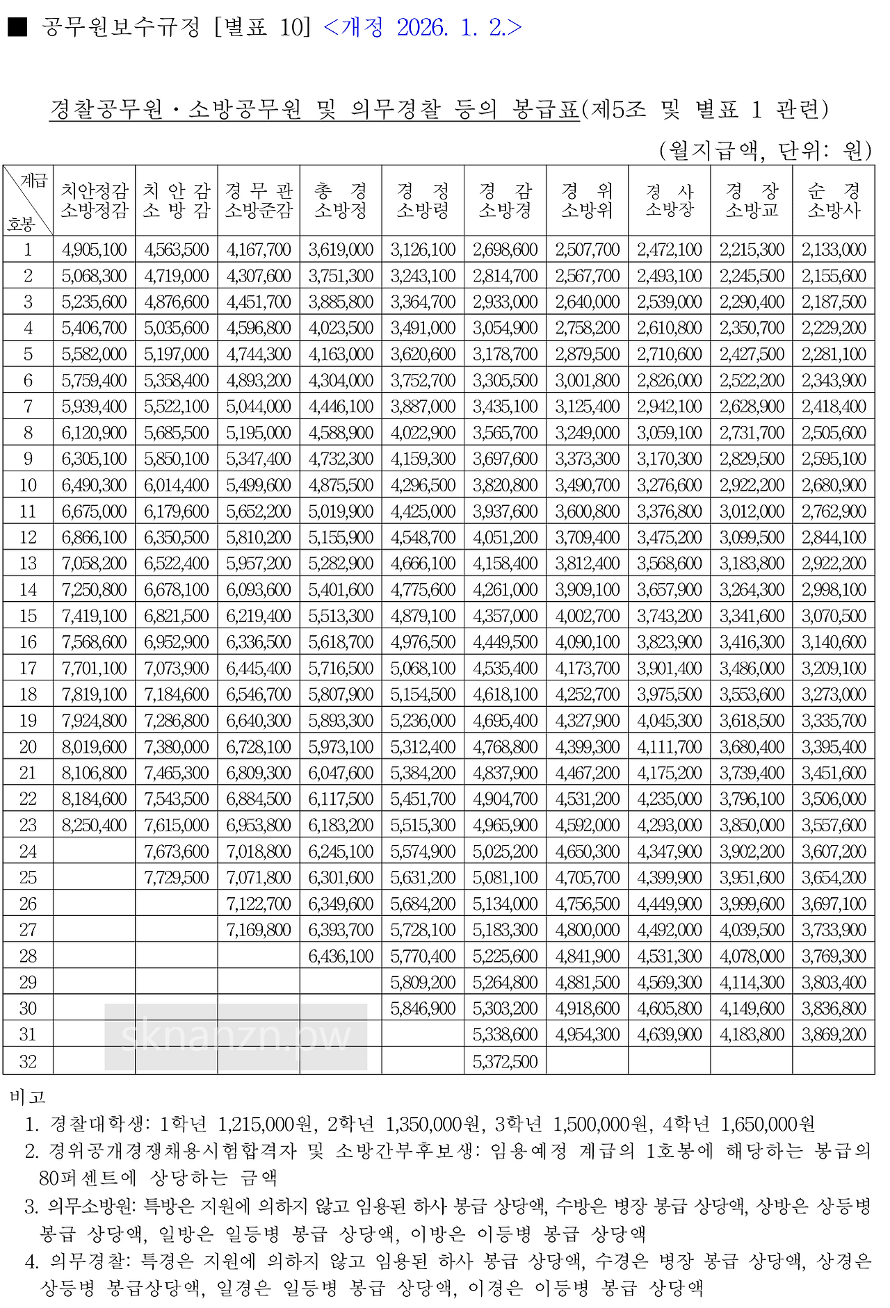
경찰공무원·소방공무원 봉급표 특징
경찰과 소방공무원 봉급표는 일반직과 유사한 인상률을 적용받았으나, 직무 위험도와 현장 근무 특성이 반영된 구조를 유지하고 있습니다.

순경·소방사 1호봉 기준 월 봉급은 약 213만 원 수준이며, 경장·소방교, 경사·소방장 구간을 거치면서 300만 원대 중반으로 빠르게 상승합니다. 총경·소방정 이상 고위 계급의 경우 월 600만 원대 중반에서 700만 원대 초반까지 형성되어 있으며, 이는 지휘·관리 책임에 대한 보상 성격이 강합니다. 이번 개정에서도 현장 인력의 처우 안정이 주요 고려 요소로 작용했음을 확인할 수 있습니다.
교원 봉급표 개정 내용
유치원·초등학교·중학교·고등학교 교원 봉급표 역시 3.5% 인상률이 동일하게 적용되었습니다.

교원 봉급은 호봉 중심 구조가 매우 뚜렷한데, 1호봉 기준 약 204만 원에서 시작하여 20호봉을 넘기면 340만 원대, 40호봉에 이르면 620만 원대까지 상승합니다. 국립대학 교원의 경우 별도의 봉급표를 적용받으며, 일반 교원보다 시작 금액과 상한선이 모두 높은 구조입니다. 이는 연구·교육 병행이라는 직무 특성과 대학 자율성, 교수 직급 체계를 반영한 결과입니다.

군인 봉급표 인상 구조
2026년 군인 봉급표 역시 동일한 인상률을 반영하였으며, 장교·부사관·병 구분 구조를 유지합니다.

병사의 경우 계급별 월 급여가 단계적으로 상승하여 병장 기준 약 150만 원 수준을 유지하고 있습니다. 장교의 경우 소위 1호봉이 약 215만 원대에서 시작하며, 중령·대령급으로 갈수록 400만 원대 중후반, 장성급에서는 900만 원대 고정급 구조를 유지합니다. 이는 군 조직의 특수성과 계급 책임 구조를 반영한 결과로 볼 수 있습니다.
연구직·전문경력관 봉급표
연구직공무원과 전문경력관 봉급표는 일반직보다 상대적으로 높은 시작 금액과 완만한 상승 곡선을 특징으로 합니다. 연구사 1호봉은 약 231만 원, 연구관 1호봉은 약 289만 원 수준이며, 고호봉 구간에서는 500만 원대를 넘어섭니다. 전문경력관 역시 가군·나군·다군으로 나뉘어 직무 전문성에 따른 차등 보상이 이루어집니다. 이러한 구조는 고급 전문 인력의 공직 유입과 장기 근속을 유도하기 위한 제도적 장치로 이해할 수 있습니다.



기타 특수직 봉급표
지도직공무원, 공안업무 종사 공무원, 헌법연구관 등 특수직 봉급표 역시 일괄 인상되었습니다. 이들 직군은 업무 특성상 일반직과 다른 호봉 상한과 급여 곡선을 가지며, 특히 헌법연구관의 경우 고정급에 가까운 구조로 월 900만 원대까지 형성되어 있습니다. 이는 고도의 전문성과 책임성을 반영한 결과입니다.



결론
2026년 공무원 봉급표는 단순한 숫자 조정이 아니라, 공직 사회 전반의 안정성과 지속 가능성을 고려한 결과물이라 평가할 수 있습니다. 전 직군 3.5% 인상이라는 동일한 기준 아래에서도 각 직군의 특성과 역할이 봉급 구조에 명확히 반영되어 있으며, 저연차 공무원의 생활 안정과 중·고연차 공무원의 장기 근속 유인을 동시에 충족하려는 의도가 읽힙니다.

향후 공무원 보수 정책은 물가와 민간 임금 동향, 재정 여건을 함께 고려하는 방향으로 지속 조정될 가능성이 높으며, 2026년 봉급표는 그 기준점으로서 의미 있는 위치를 차지한다고 볼 수 있습니다.